日立(HITACHI)が過去に発売した、歴代のビジネスフォン・PBX一覧についてまとめてみました。 目次 NETTOWER CX01 integralE ETiE Type S integralE ETiE Type M integralE ETiE Type L NETTOWER MX900IP IPTOWERSP TMⅡ タイプS IPTOWERSP TMⅡ タ中古 良い 中古ET36iEDHCL (B)2 日立/HITACHI integralE 36ボタン カールコードレス電話機 ※後期型商品ET36iEDHCL (B)2は前期型商品ET36iEDHCL (B)と外観・機能上の差はございません。 型番が異なるビジネスフォンを交換する場合の多くは、工事専門中古美品の取扱説明書(etif/sm共通) なら、日立とナカヨの中古ビジネスホン専門店の「日立ナカヨ屋」におまかせ!「美品宣言★」ブランド基準で、「徹底清掃」「動作確認」「丁寧梱包」など、安心品質にこだわりました。 14時までのご決済で当日発送!
Jcb Transmission Service Repair Manual By Yjfhsne Issuu
Integral-e マニュアル
Integral-e マニュアル-33 電 話 帳 を 使 う 3 3.電話帳を使う 電話帳を登録する 電話帳に空きがない場合は、操作2のあとで下記の表示となり、変更や消去のみ行うことができます。122 ご 利 用 の 前 に 1 1.ご利用の前に カレンダー、時計の設定 5 設定完了画面が表示される ① を押します。 ②「 システム機能設定」 を選択し、 を 押します。 ③「 日時設定」を



Find Lancia Delta Turbo Integrale 16v Workshop Repair Manual For Service Tuning In San Fernando Us For Us 24 99
日立のETiE主装置です。 Integral Eシリーズ。 電話機は最大で18台を接続可能です。 外線は最大で8chを接続可能です。 CODE: 新品定価 242,000円(税込)のところ 中古美品価格 8,580円 (税込) 在庫数:4 数量: 在庫数:0 → 取寄確認します 取扱説明書/マニュアル integralE(インテグラル イー)の取扱説明書/マニュアルに関しましては、HITACHI(日立)・ナカヨのホームページよりダウンロードしてご利用下 HITACHI(日立)ビジネスフォン(ビジネスホン) integralF 新品・中古を業界最安値で販売中。integralFの販売から設置までIntegralF カタログ 日本通信システム 電話機・ホームFAX・ドアホン NTT東日本 Web116jp マルチコミュニケーションシステム integralFシリーズ 日立integralEカタログ 客室へ、おもてなしの心をつなぎます。 日立マルチコミュニケーションシステム integralE マルチメディアIP電話機 IPメ
NEC Aspire X DT300;HITACHI 日立 integralE 2回線ナースコールユニット ※主装置に実装する場合は、主装置のバージョンがVer31以降のみ実装が 中古激安価格 37,400円 (税込) 詳細を見る ET8DHUIE/ML 日立・ナカヨ integralE ユニット ユニット;Integrale,取扱説明書,着信拒否,マニュアル,子機,電話帳登録,保守期限,留守電設定,ディスプレイ,転送設定 integrale の商品検索結果 女性のためのヘアケア、女性用育毛剤・育毛シャンプーに関する話
楽天市場日商電販 楽天市場店の商品ジャンルから探す > 取扱説明書一覧。楽天市場は、セール商品や送料無料商品など取扱商品数が日本最大級のインターネット通販サイト HITACHI integralFは、スマートでスムーズなコミュニケーションをお客様に提供します。 HITACHI integralFについてのお問い合わせは、オフィス電話本舗に安心して、お任せください! ビジネスフォン工事のみのお問い合わせも大歓迎です!す2309 日立 integralE 取扱説明書 工事保守マニュアル ①(ヤフオク! )は1件の入札を集めて、 1639に落札されました。



Lancia Delta Integrale 16v Hutch Forums



Manual Model Yf100 Style E Vortex Flowmeter Instruction Manual Model Yf100 Vortex Flowmeter Integral Pdf Document
SymPy Integration The SymPy package contains integrals module It implements methods to calculate definite and indefinite integrals of expressions The integrate () method is used to compute both definite and indefinite integrals To compute an indefinite or primitive integral, just pass the variable after the expression楽天市場日商電販 楽天市場店のHITACHI > integralF一覧。楽天市場は、セール商品や送料無料商品など取扱商品数が日本最大級のインターネット通販サイトHsc1730 / hsc1770/ lqv410 / lqp600/ lqe950 / lqe260e/ lqe510e / lqe702e/ lqe540e / lqe770e/ hdc50 sej1101 s10ve ユーザーズマニュアル オプション odring (lqe510e) lqe510e sej1102 s10ve



1990 Lancia Delta Hf Integrale Manual 4wd



S8000 Integrale Chilled Mirror Hygrometer User S Manual Pdf Free Download
工事・保守マニュアル(ipキャリア:ipho編) 工事・保守マニュアル(vpnルータ:ipzc編) 93 スマートフォン連携:mliner 編 12 1-1 システム構成図 本製品の基本構成は、主装置側に設置したルータのwan 側ネットワークから主装置へアクセスする構成に なります。 そのため、ルータに外部からマニュアル 種別 名称 対象製品型式 備考;Q12 特定の電話番号からの着信拒否解除方法(ビジネスホン ETSI(Sintegral)、ETIF(integralF)) 待機状態(送受器を置いたまま)でセンターキーを押します。 カーソルキーの上キー又は、下キーで、「5システム機能設定」を選択し、センターキーを押します。



John Deere 7340 Narrow Row Max Emerge 2 Integral Planters Operator S Manual



Lancia Delta Integrale Mechanics And Repair Manual
24 1.ご利用の前に カレンダー、時計の設定 5 設定完了画面が表示される ① を押します。 ②「 システム機能設定」 を選択し、 を押 します。 ③「 日時設定」を 選択し、 を押「integralF」。そのデザインと機能に込められた3つのF、"Friendly""Fit""Flexible"で毎日 の ビジネスを力強くサポートします。 スマートフォン スマートフォンから主装置の電話帳にア クセスし、検索した相手に発信して通話。楽天市場日商電販 楽天市場店のHITACHI > integralE > コードレス一覧。楽天市場は、セール商品や送料無料商品など取扱商品数が日本最大級のインターネット通販サイト



Braun Flex Integral 6525 Users Manual Gb 6525



Lancia Delta Hf Integrale Service Repair Manual Repair Manuals Lancia Delta Repair
日立 integraliE 8回線ドアホンユニット 中古激安価格 16,500円 (税込) 詳細を見る楽天市場日商電販 楽天市場店のHITACHI > Gintegral一覧。楽天市場は、セール商品や送料無料商品など取扱商品数が日本最大級のインターネット通販サイト採水量(EPOD) 最大2L/分 MilliQ水 MilliQ Integralの長期間の運転停止方法および停電・断水時前後の対処方法については、こちらのPDFをご覧ください。(319KB) INT ShutDownpdf Q1 A10 UVランプを交換してください:メンテナンスランプ(黄色)が点灯 Q2 185nmUVランプを交換して



1 A In Matlab Determine An Estimate For The Integral E 34 Sin Z Dz Using The Trapezoidal Rule With Step Size 0 1 Homeworklib



Max E Glas Ii Centrifugal Pumps With Integral Trap
日立 iF シリーズ 留守設定 日立IFの留守番電話の設定方法を説明します。 基本はワンタッチボタンの登録により使用できるようになります。 ワンタッチボタンは全部で4種類登録してもらいます。 1)留守切替 →留守番電話のセット解除に使用するボタン設定マニュアル 内線ボタン ※NYCiZ10 でアナログ回線の場合、NTTの「ナンバー・ ディスプレイ」サービスをご契約されても本機能はご利用でき ませんのでご注意下さい デジタルビジネスホン 特定番号からの着信を拒否の番号登録操作説明 iZ iZv2 ISDN回線をご契約のお客様 ・NTTサービス 「IRaagæïJ E 11 ruawz —p 72—74 17) a —972—73 (1081 17) raawz a & (977) @ (±YJç— (P70) 5Jb—71 (Gl) (5 —511—77 (G7) = p75 a rï±xn @ a 4) soo BOOË ggof# (000—9) Mxx (x) 0—9 # (1) 17 — FICtJJDUža a 4 5 7 *TtUuVvB B nanawwxxyyzzg Y J 7 MiMrnNnaoB TtUuVvB 91JJbL»aWwXxYyZzg rnrxn£—t r s ranRI, a 1101 (log 110 1 IE7g11) 54 (IPCOI



Jcb Transmission Service Repair Manual By Yjfhsne Issuu



Lancia Delta Turbo Integrale 16v Workshop Service Manual For Etsy
こちらもiz、giと古いビジネスフォンのマニュアルまで揃っています。 関連記事 ntt acd0306jp の電話機 「acdから始まるのはメーカー型番ではありません」 acdから始まる技術基準適合 認証番号の意味 ナカヨ 2s の新設 工事 京都府京都市 ナカヨ nyc2sme の設置工事です。 24sisd 1台8dcll 1台日立 integral(インテグラル)Eシリーズはビジネスコミュニケーションをより簡単にする機能、通信コスト削減へと導く機能、そして会社の成長に柔軟に対応できる機能を取り揃えた多機能モデルです。 見やすい液晶ディスプレイ 24×24ドットによる見やすい「なめらか文字表示」 文字を手順101 センターキー 「終了」を押す 11月 1日(水) am 0 no101 着信音量 お疲れ様でした。 戻る 決定 再生中



Wide2480 Wireless Data Acquisition Module User Manual Attachment E Integral Systems Design



人気 中古 Et Si日立 Hitachi取扱説明書cd Ver 5 0 工事 保守マニュアルcd Ver 5 0 ビジネスホン 業務用 電話機 その他 の通販 価格比較のビカム
会社用電話 日立『integralE』を使用しています。 留守録の応答メッセージを複数登録したのですが、ボタン1つでメッセージ切替はできないのでしょうか? (例)メッセージ1:定休日用(「本日は定休日です。」)or メッセージ2:時間外用(「本日の営業は終了しました。」) 留守録Mo, Tu, We, Th, Fr OFFICE110 福岡県福岡市中央区薬院3113TSビル6F お客様納得の低価格 ビジネスフォン納品レポート&ご感想 サンヨーホームズ株式会社 様 納品日Eメール 株式会社日立太郎 **** #### aaa@aaaaacojp 予定した時刻になると 各端末に通知 プレゼンス画面 スケジュール画面 スケジュールの予定時刻に なりました 日立マルチコミュニケーションシステム「Sintegral」は、スタイリッシュな多機能電話機



John Deere 960 Series Integral Field Cultivator Operator Manual Om N0 K6 E 7 Ebay



Red E Cabinet Dv 5a Installer S Manual
「integralE(インテグラル・イー)」シリーズを製品化し、9月10 日から販売を開始します。 昨今、中小規模事業所においても、一層の業務効率向上と経費削減、環境への配慮が求められるととも に、コンプライアンス(法令順守)や情報管理などの対策も従来に増して重要になってきていますSej1001 s10ve ユーザーズマニュアル 総合編;



Lancia Integrale Shop Manual Service Repair Delta Hf Workshop Book Prisma Vehicle Parts Accessories Car Manuals Literature V Creation Co Jp



Installation Manual 430 13 Kb



Undergraduate Manual Of Clinical Cases In Paediatrics E Book Kindle Edition By Pemde Harish Datta Vikram Professional Technical Kindle Ebooks Amazon Com



Lancia Delta



1pc Manual Hydraulic Rama 15t Two Three Jaw Integral Bearing Pulley Puller Industrial Grade Hydraulic Rama Aliexpress



Lancia Delta Integrale 16v Technical Workshop Manual 1991 En Veikl



Lancia Delta Integrale 8v 16v Evoluzione Service Manual Tradebit



Software Testing Automation Vs Manual Setl



Lancia Delta Integrale 8 Amp 16v Turbo Workshop Manual



Lancia Delta Integrale Tamiya Rc Radio Control Cars



Lancia Delta Integral 8v Kat 16v Operating Instructions German Owners Manual Ebay



工事マニュアル 冊子 Et Ie M 日立ナカヨ屋 日立とナカヨの中古ビジネスホン専門店



Lancia Integrale Shop Manual Service Repair Delta Hf Workshop Book Prisma Vehicle Parts Accessories Car Manuals Literature V Creation Co Jp



Integral Electronic Drivers Type E Ri Ae Manualzz



For Sale Lancia Delta Integrale Evoluzione Ii 2 0 4wd Manual 215hp 1994 For Sale At Kaiser Cars



Lancia Delta Integrale 8 Amp 16v Turbo Workshop Manual



Lancia Delta Integrale 16v Technical Workshop Manual 1991 En Veikl



日立integraleカタログ Manualzz



Full Car Wash Lavado Manual E Integral Home Facebook



Solved 1 For This Question Use The Int Command A In Chegg Com



Lancia Delta Integral Evo Document Kit Cover Owners Manual Folder Service Ebay



Solved Require Manual Gradlng Left1 33 48 Chandler Sims Chegg Com



New Holland L627 Integrale Laverda Combine Base Unit 1 99 12 03 Parts Manual Pdf Download Service Manual Repair Manual Pdf Download



Jcb Transmission Gearbox Axle Repair Manual



Lancia Delta Turbo Integrale 16v Workshop Service Manual For Etsy



Metal Detector Head With Integral Control Electronics User Manual Incl Installation Instructions E Mail Sales Acirc



In Matlab Determine An Estimate For The Integral E Chegg Com



Manual Model Yf100 Style E Vortex Flowmeter Instruction Manual Model Yf100 Vortex Flowmeter Integral Pdf Document



Find Lancia Delta Turbo Integrale 16v Workshop Repair Manual For Service Tuning In San Fernando Us For Us 24 99



Electromatic Jr403 E Automatic Transmission Auto Gearbox Service Manual Pdf Download Heydownloads Manual Downloads



Lancia Delta Integrale 16v Technical Engine Workshop Manual 1991 En Veikl



Lancia Delta Integrale 8v 16v Evoluzione Service Manual Tradebit



Kyosho Dnx303 Lancia Delta Hf Integrale Radio Controlled Rc Model Download User Guide For Free Manual Guru



Manual Gearbox Lancia Delta I 1 2 0 16v Hf Integrale 1ab 026 B Parts



Seal Manual Sunroof Hf4wd Integrale Outer Front 0 00 Zagato Lancia Integrale



Solved For This Question U5a The Int Command In Matlab Determine Ahl Estimate For The Integral Size 1 See Section L 11 1 Of The Matlab Manual Cos Dx Using The Trapezoidal Rule With



Kyosho Lancia Delta Integrale 16v Manual



Oil Seal Manual Gearbox Joint Shaft Left 00 Hf4wd Integrale 8v Wi 16 50



Hoshizaki Km 150baf E Installation Manual Pdf Download Manualslib



Wide2480 Wireless Data Acquisition Module User Manual Attachment E Integral Systems Design



Bicsi The Telecommunications Distribution Methods Manual Tdmm Is Bicsi S Flagship Manual Now In Its 14th Edition It Is The Basis For The Rcdd Exam And Has Become A True World Resource



す2309 日立 Integral E 取扱説明書 工事保守マニュアル 日立製作所 売買されたオークション情報 Yahooの商品情報をアーカイブ公開 オークファン Aucfan Com



Lancia Delta Hf Integrale Service Repair Manu By Juliusheim Issuu



Manual Do Regime Juridico Do Arrendamento Portuguese Edition Antonio Soares Da Rocha Amazon Com Books



Lancia Delta Integral Evo Evo2 Operating Instructions English Owners Manual Ebay



The Orchid Grower S Manual Containing Descriptions Of The Best Species And Varieties Of Orchidaceous Plants Odontoglossum Ltroglossum Yellow Thickly Spotted On The Basal Half With Reddish Brown And The Lip Cordate



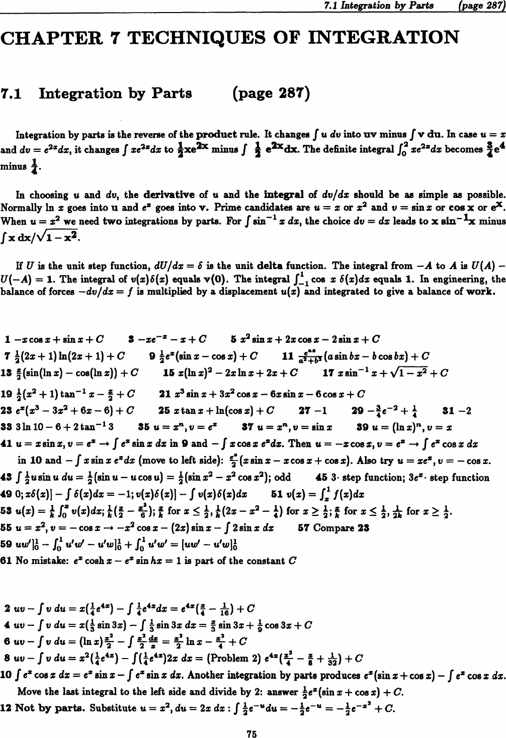
Calculus Online Textbook Instructor S Manual Chapter 7 Instructors 07



19 Lancia Delta Integrale 86 000 Miles Black Sedan 2 Liter Manual For Sale Lancia Delta Integrale 19 For Sale In Southport Connecticut United States



Hitachi 工事 保守マニュアル Integral E 6版 Et Ie S 日立製作所 売買されたオークション情報 Yahooの商品情報をアーカイブ公開 オークファン Aucfan Com



Red Stitch Real Leather Manual Shift Boot For Lancia Delta Integrale 86 94 Car Truck Parts Car Truck Interior Parts Westernfertility Com



Lancia Delta Integrale Full Service Repair Manual 1986 1993 Tradebit



19 Lancia Delta Hf Integrale 39 249 Miles Charkoal Hatchback 2 0 Turbo Manual For Sale Lancia Delta Hf Integrale 19 For Sale In Jacksonville Florida United States



Lancia Delta Turbo Integrale 16v Workshop Repair Manual For Service Tuning Auction For Sale



1986 1999 Lancia Delta Hf Integrale Workshop Service Manual By Abcdeefr Issuu



Metal Detector Head With Integral Control Electronics User Manual Incl Installation Instructions E Mail Sales Acirc



Berlinasportivo Alfa Romeo 155 Q4 And Sports Saloons On The Net



Lancia Delta Integrale Factory Service Repair Manual Tradebit



Lancia Delta Hf Integrale Evo1 Evo2 Ver2 Service Book Repair Book Wiring Diagram Owner S Manual Lancia Delta Hf Integrale Lancia Real Yahoo Auction Salling



Lancia Delta Hf Integrale Workshop Manual Pdf Download Manualslib



Advanced Holistic Management Grazing Planning E Manual Holistic Management International



American Standard Williamsburg Elite 5 Integral Apron Whirlpool 2425ec Lho Users Manual Home Depot Tubs



Manual De Esquizofrenia Y Trastorno Bipolar Una Herramienta Integral Para El Paciente E Indispensable Para La Familia Spanish Edition Lamas J Felix Amazon Com Books



Integral Electronic Drivers Type E Ri Aeg Manualzz



General Bivy Manual Integral Designs



1994 Year Lancia Lancia Lancia Delta Delta Integrale Owner Manual Manual Owner S Manual Dealer Car Japanese L31e5 Real Yahoo Auction Salling



User S Manual Axf Magnetic Flowmeter Integral Insatech



Web Material3 Yokogawa Com



Sta Rite Max E Pro Owner S Manual Pdf Download Manualslib



Integration Calculation A Syntax And Input E 43 Casio Fx 5800p User Manual Page 44 147 Original Mode



Hitachi 日立 ビジネスホン 工事 保守マニュアル 取扱説明書 Integral E Et Ie N 065 1 0413 の落札情報詳細 ヤフオク落札価格情報 オークフリー スマートフォン版



Lancia Delta Integrale 8 Amp 16v Turbo Workshop Manual



28 日立 Integral E 取扱説明書 ナカヨ Nyc Si工事 保守マニュアル Ver5 0 Cd の落札情報詳細 ヤフオク落札価格情報 オークフリー スマートフォン版



日立 Integral E Type L ビジネスフォン 中古ビジネスホンなら販売から電話工事まで首都圏ネットワークサービスで



User S Manual Rxf Magnetic Flowmeter Integral Insatech



Grafik Eye Grx 3104 Specification Sheet 5 07 Kb Manualzz



Red Stitch Real Leather Manual Shift Boot For Lancia Delta Integrale 86 94 Car Truck Parts Car Truck Interior Parts Westernfertility Com



Wide2480 Wireless Data Acquisition Module User Manual Attachment E Integral Systems Design



日立マルチコミュニケーションシステム Integral E Manualzz



Tamiya Manual



日立 Integral E Et Ie S 7版 工事 保守マニュアル の落札情報詳細 ヤフオク落札価格情報 オークフリー スマートフォン版



Solved Part Ii Manual Computation 25 Points Each Numerical Chegg Com



Hitachi 日立 ビジネスホン 工事 保守マニュアル 取扱説明書 Integral E Et Ie N 065 1 0413 の落札情報詳細 ヤフオク落札価格情報 オークフリー スマートフォン版



Used John Deere 35 And 45 Integral Moldboard Plows Operators Manual



Michell Instruments S8000 User Manual Pdf Download Manualslib

